追寻优秀基因|基金的配置、择时及个股能力分析
Author: 招商定量任瞳团队
Original link: https://mp.weixin.qq.com/s/oRconH0vU_NVIcujV_yeRw
Note: All rights belong to the original author. This post includes brief excerpts for commentary and review. Please read the full article at the source.
Published on 2022-12-3
Original 招商定量任瞳团队 2022 年 12 月 3 日 20:00
基金配置、择时和个股能力对基金业绩影响显著。本报告构建了多层归因模型,重点分析基金在大类资产和行业赛道层面的配置及择时能力,以及个股层面的选股及交易能力,并探究如何基于模型结果优选基金。
招商证券基金定性调研池的统计结果显示,大部分公募基金经理重选股、轻择时,近几年的新锐基金经理青睐景气度投资。业绩归因模型能从定量层面对基金能力进行拆解,并对基金经理能力及投资框架进行初步判定,可作为基金优选的参考指标。
本报告在 Brinson 模型的基础上进行改进,构建多层归因模型,将基金收益分解为基准收益、资产配置收益、仓位择时收益、行业配置收益、行业择时收益、选股收益和交易能力,其中选股收益和交易能力合并称为个股能力。
多层归因模型中采用的基金分类以事前分类为主,事后分类为辅,主要参考依据为招商证券基金评级分类。 报告重点研究高仓位股票基金、均衡仓位偏股基金以及固收 + 基金,宽基类产品的业绩基准指数统一选择中证 800,行业主题基金则根据实际的分类情况选择对应的业绩基准,行业主题基金认定方法参考招证基金评价团队维护的行业基金池列表。
从模型结果来看,个股能力、行业配置是基金收益的主要来源,其次为行业择时,资产配置和仓位择时的收益贡献度较小。 个股能力对基金收益贡献占比最突出并且稳定性较强。从纳入统计的基金来看,个股能力收益贡献度超过 50% 的基金占比 77%。个股能力因子的回测结果显示,高分组表现明显优于低分组,第 1 组的年化收益率为 23.22%,相对第 5 组具有 6.6% 的年化超额收益。
基于净值的归因模型可以作为多层业绩归因的补充。 净值模型中的 Alpha 与多层业绩归因模型中的个股能力相关性高,两者的相关系数高达 60% 以上,可作为多层归因模型的补充验证,可进一步判定个股能力的显著性。
结合多层归因模型的结果进行基金优选。 行业配置、择时及个股能力均较突出的有大成新锐产业(韩创)、易方达供给改革(杨宗昌)、华安动态灵活配置(蒋璆)、华商新趋势优选(周海栋)等。个股能力表现较突出的有大成新锐产业(韩创)、中信保诚创新成长(王睿)、汇丰晋信智造先锋(陆彬)、华安动态灵活配置 (蒋璆) 等。行业配置能力较突出的有易方达供给改革(杨宗昌)、长盛创新驱动(孟棋)、新华行业周期轮换(刘彬)等。
招商证券基金特征库目前具有多层业绩归因指标、基金及基金公司评级、基金风格标签、行业赛道特征、操作指标、基金经理个人特征、基金经理投资框架等各类数据,覆盖了基金持仓分析、业绩分析、基金经理定量及定性分析等多维度研究。我们将持续挖掘新的基金因子,扩充特征库指标体系,并进一步研究如何采用特征库进行基金优选和组合构建。
风险提示:本报告仅作为投资参考,不构成投资收益的保证或投资建议;业绩归因模型的有效性取决于模型假设是否符合实际情况,不同基金的有效性具有一定差异;模型结果仅供参考,历史数据不代表未来。

一
经典模型
基金配置、择时和个股能力对基金业绩影响显著。观察权益市场近 10 年的走势,我们可以看到沪深 300 价值、沪深 300 成长、中证 500 和中证 1000 的表现具有明显差异,如 2015 年的小盘效应,2017 年价值因子表现突出,均体现出了成长/价值、大小票轮动的结果。从行业层面,2020 年和 2021 年的新能源、2016 年至 2020 年的食品饮料、2019 年的医药和电子等表现均远超其他行业,基金经理对该风格和行业变化判断的准确性将对基金业绩产品显著的影响。
基于我们过往进行的 700 多场调研中关于基金经理投资框架的信息来看,大部分公募基金经理均表示更看重选股,极少认为自己的收益来源于市场择时,但我们在分析其管理期间规模时可发现持有个股的风格具有一定的切换,显示基金经理在个股选择过程中隐含了一定的风格及行业的择时思维,但单纯从其风格变化难以量化其择时能力,基于事前判断和定性调研无法对基金择时能力具有准确认识,通过择时及收益拆解模型可对基金投资行为有更深入的了解。

1、基于净值:TM 和 HM 模型
判断基金市场择时和选股能力的常用模型有 TM 和 HM。TM 和 HM 的核心思想均为判断当市场上涨时基金经理是否对市场具有较高的暴露度,从而判断基金经理择时能力。
TM 模型通过在 CAPM 模型的基础上加入二次项来衡量择时能力:
其中,为选券能力指标;为择时能力指标;为基金组合所承担的系统风险;如果 大于零,则表示基金经理具有择时能力,即正的 能使得特征线具有一定凸性。
HM 模型通过增加虚拟项的方式来衡量择时能力:
投资组合的 值在 >0 时为 + ,则表示在市场上涨的牛市行情中,基金经理会主动调高对市场风险的暴露度。
TM 和 HM 模型主要的理论框架为 CAPM,即只考虑了市场因子。Fame-French 三(五)因素模型,Gruber、Carhart 四因素模型等在 CAPM 的基础上进行了因子的扩充,在市场因子的基础上将价值、动量等因子纳入考量。在此基础上,Volkman 在 Carhart 四因素模型的基础上增加了市场收益二次项因素,提出了对基金经理的选股和择时能力进行识别的五因素模型。Bollen 结合了四因素模型和择时模型,将在四因素模型的基础上增加择时项来判断基金是否具有择时能力。模型的形式如下:
四因素与 TM 结合的模型为 F-TM 模型,其中 f()= ,四因素与 HM 结合的为 F-HM 模型,其中。四因素模型主要考虑市场因子、市值因子、价值因子和动量因子,其中,以 MKT 代表市场因子,通过市场组合平均收益率与无风险收益率的差值来构建;SMB 代表市值因子,通过小市值与大市值股票收益率的差值来构建,HML 代表价值因子,通过高 B/P 与低 B/P 个股的收益率差值来构建;UMD 代表动量因子,通过高收益股票与低收益股票的收益率差额来构建。
2、基于持仓:Brinson 业绩归因
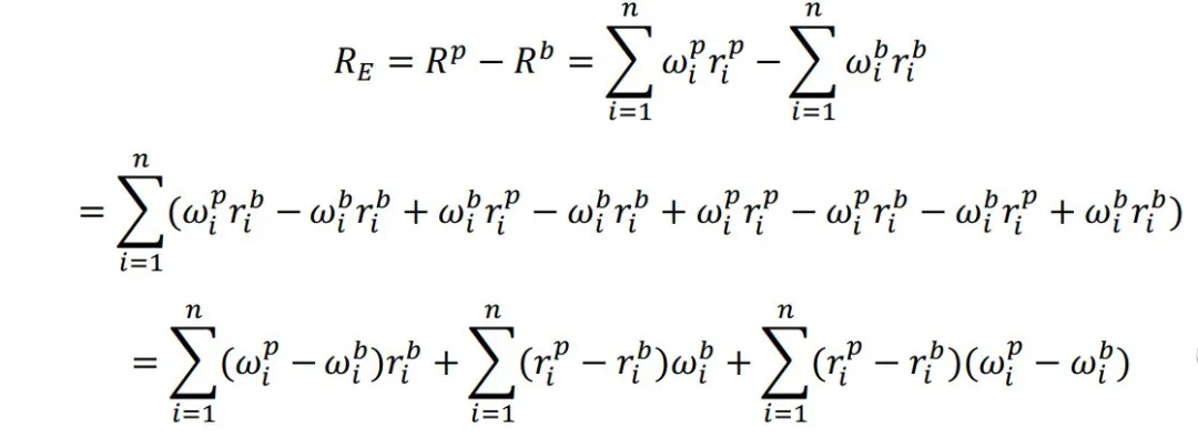
基金收益拆解常用的模型为 Brinson 业绩归因模型。传统的 Brinson 业绩归因模型,也被称作 BHB 模型,于 1986 年被提出,认为一个投资组合的收益可以由四部分组成,首先可以将收益分为基准收益和超额收益,超额收益又可以进一步分为资产配置收益和标的选择(选股)收益,以及二者的交叉部分的收益。Brinson 业绩归因模型常用于基金的分析中,通过对收益的分解,从而可以判断超额收益的来源,进而可以从资产配置和个股选择这两个方面对基金的收益来源进行分析和研究。对于基金行业配置及择股能力分析,也可以采用 Brinson 分解,即行业配置对应于 Brinson 分解中的资产配置,择股对应于 Brinson 分解中的证券选择。

则若令 代表投资组合的收益率,代表基准收益率,为总超额收益,则有

令,则 代表的是择时收益;令,则 代表的是选股收益;令,则 代表的是交互收益。
BHB 模型仍存在一些问题:其一在于资产配置超额收益部分,在 BHB 模型分解下,对任一个资产 i 来说,如果 且,那么基金在该资产上的配置就能带来超额收益,这与我们的逻辑相悖,因为一般我们认为超配能够战胜市场的资产才能带来超额收益,而 BHB 模型认为只要超配收益为正的资产就能带来超额收益;其二在于交叉超额收益的经济学含义并不明显。因此 Brinson 和 Fachler 在此基础上提出了 BF 模型。该模型与 BHB 模型有着近乎一样的分析框架,并且它没有 BHB 模型上述的两个缺点。在资产配置超额收益的处理上,若将基准收益率简记为,那么 BF 模型的资产配置超额收益为:
因为,所以实际上 BF 模型与 BHB 模型中的资产配置超额收益是相等的,但是 BF 模型里,单个资产配置的超额收益更合理,即超额收益来源于超配能够战胜市场的资产或者低配不能战胜市场的资产。
在证券选择超额收益的处理上,BF 模型将原本 BHB 模型中的证券选择超额收益和交叉超额收益之和作为其证券选择超额收益,即:
于是,在 BF 模型中,基金超额收益的分解为:
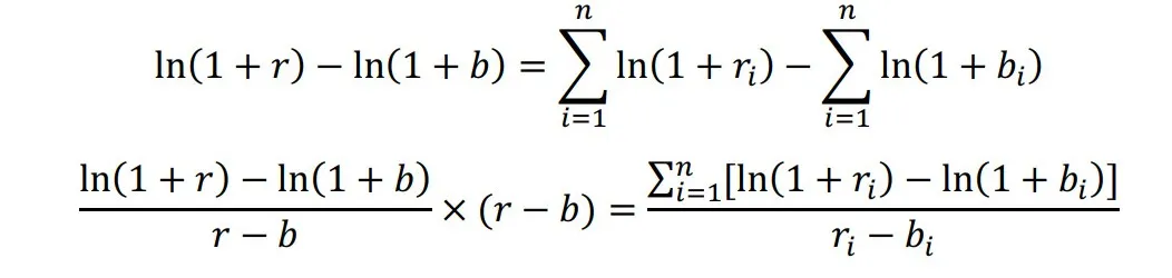
后续的进一步研究将 Brinson 业绩归因模型从单期推广到多期中。因为多期的 Brinson 业绩归因分析中可能存在的问题是收益属于累乘的关系,因而无法对单期 Brinson 归因结果进行简单的累加。因此在对处理多期的 Brinson 业绩归因分析上,后续的研究又衍生出了许多不同的算法进行处理,比较常见的算法有简单多期递归模型、Carino 模型(引入乘数因子将累积转换为累加)和以 GRAP 算法(将每个时期产生的再投资收益归因到超额收益产生阶段)为代表的分解超额收益算法,通过使用常见的平滑或放缩算法来进行跨期复合计算。以 Carino 算法为例,将多期收益用对数形式展开,并引入乘数因子将累积转换为累 加。
投资组合的多期收益率可以表示为
其中 表示投资组合的单期收益率,进一步对上式求导
对基准单期 投资组合 进行同样操作并求差

引入乘数因子
则区间内的总超额收益可以进一步表示为
其中 分别为 i 期的各类收益。
二
多层归因模型:配置、择时及个股能力
根据前述的讨论,基金择时选股能力的判定方法主要可以分为基于净值和基于持仓的两种类型。基于净值的模型主要以 TM 和 HM 模型为主,通过分析基金收益与市场收益的关系的显著性情况,判定基金是否存在择时或者选股能力。也就是说这个模型主要回答的是与否的问题。而基于持仓的收益拆解模型主要是将基金的实际收益拆解为择时和选股收益,主要回答的是收益来源占比的问题。将基 于净值和基于持仓的结果相结合,则能相互补充和验证基金的能力分析判定 的结 果 。
但两个模型对能力刻画的假设有较大的差异。TM 和 HM 模型通过模型系数来判定基金的择时能力,隐含的假设是认为基金在上行市场加仓为择时能力的体现,而这个所谓加仓的行为是针对基金之前的仓位情况而言的。而 Brinson 模型中认为的仓位择时能力是相对于基准中枢的偏配所带来的收益,有些基金经理长期看好权益市场,对权益市场的配置比例长期高于基准比例,而阶 段性会根据市场的情况调整仓位,我们认为,长期配置比例高于基准比例的这部分能力属于基金经理的主动配置收益,而阶段性调仓属于择时行为,但在 Brinson 模型中这两种能力都被归类为了资产配置能力中,与 TM 和 HM 模型的择时能力所描述的内容并不完全匹配。这类收益应进一步拆分,长期超配某类资产(如超配消费或者 TMT 板块)属于基金经理的配置能力,而在长期配置中枢的基础上做短期偏离的部分属于基金经理择时能力。
本报告在 Brinson 模型的基础上进行改进,将基金的收益拆分为配置、择时、选股及交易能力。配置能力指的是基金在各类资产的配置能力,配置能力强的基金能够基于当前市场环境更好地将资金配置在不同资产中从而获得更多的收益。值得一提的是,我们指的配置能力不仅限于大类资产,也包含了行业的配置能力;择时能力指的是基金能够根据当前的市场信息调整资产组合的市场暴露;交易能力衡量的是基金短期内通过调仓换手来增厚收益的能力。具体模型如下图,我们在 Brinson 的基础上进行改进,构建多层归因模型,最终将基金收益分解为基准收益、资产配置收益、仓位择时收益、行业配置收益、行业择时收益、选股收益、交易及其他收益。

1、基金分类:确定业绩基准
不同基金类别采用的基准差异较大,本章我们重点讨论如何对基金进行分类并如何确定基金的基准。以证监会发布的《公开募集证券投资基金运作管理办法》的规定作为参考标准,基金的一级分类主要可分为股票型基金、混合型基金、债券型基金、货币型基金、FOF 基金、QDII 基金和其他基金。除了关注事前分类外,也有人关注将基金按照其实际的业绩来进行分类,也就是事后分类。如 Hall(2017)对基金超额收益与基准超额收益做线性回归,然后根据 R^2 的大小来判断基金是消极配置的基金还是积极配置的基金;王甜 (2017) 基于基金的收益率、平均收益率、波动差、贝塔系数、夏普比率、特雷诺比率和詹森指数等指标对基金数据做聚类分析,以此区分出能力维度不同的基金。此外,考虑到指标过多,她还建议对上述指标做主成分分析,从而依据主成分做聚类分析,以此得到更具解释力的分类 策略。
多层归因模型中采用的基金分类以事前分类为主,事后分类为辅,主要参考依据为招商证券基金评级分类。 我们重点研究股票型基金和混合型基金中的主动管理基金,也就是包含了高仓位股票基金、均衡仓位偏股基金以及固收 + 基金等。基于招商证券基金评价业务的公募基金分类,主动股票型基金中包含了标准股票型、港股标准股票型,主动混合型中包含了偏股混合型、平衡混合型、灵活配置型、偏债混合型、港股偏股混合型、港股灵活配置型,由于港股基金还需要考虑跨区域市场的收益拆分,本文暂时不对港股基金展开讨论,也就是重点讨论招证三级分类中的标准股票型、偏股混合型、平衡混合型、灵活配置型、偏债混合型。


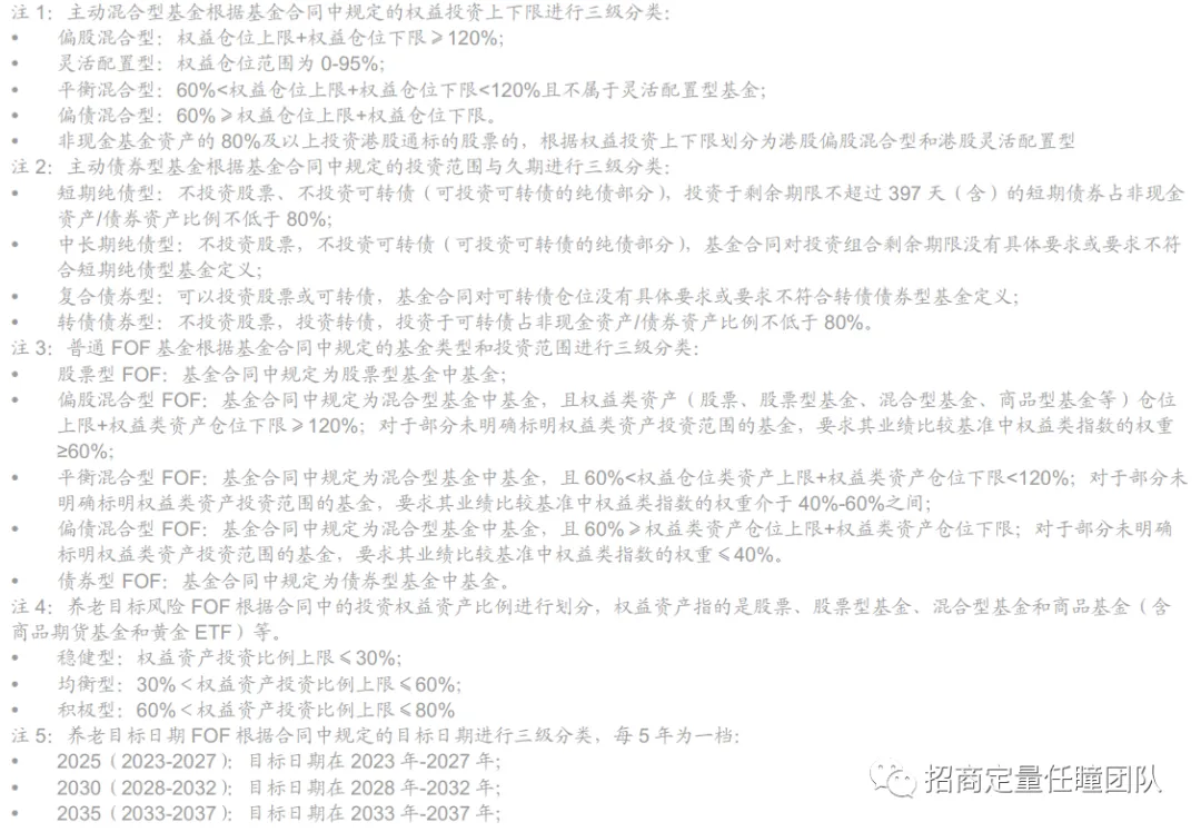
除了基金大类上的分类,不同行业属性和合同约束下的基金基准也需要视实际情况做调整。我们在《追寻优秀基因系列之二:中国公募基金个性特征详解(二)》一文中讨论了关于行业主题和赛道基金的分类,对于赛道基金和板块基金,我们会根据基金实际持仓展开分析,行业板块分类采用中信一级行业分类,并根据行业归类为具体板块赛道,具体行业主题划分为周期、中游制造、医药、消费、金融地产、TMT 六大板块。板块划分依照中信一级行业分类具体如下表所示。但本文中划定的基准主要还是以事前分类为主,对于可全市场选股的基金,虽然基金最终可能对某些板块长期重仓,我们也仍然以中证 800 作为股票中枢的业绩基准,并将长期超配某些板块作为基金的行业配置能力。在业绩归因模型中我们主要采用事前及事后相结合的方式确定基金业绩基准,以事前作为分类的主要依据,并采用事后实际持仓进行验证。招商证券基金评价团队长期采用定量定性相结合的方式维护主动及被动行业基金列表,并定期在《被动型行业主题基金工具手册:如何高效识别和投资基金产品》及《另眼看季报之行业主题基金》中展示,对于被判定为行业主题基金的产品,我们将根据实际的分类情况选择对应的业绩基准。

对于非行业主题的基金,我们将根据基金实际业绩基准的情况进行调整。对于股票型基金,参考《公开募集证券投资基金运作管理办法》的规定,我们采用 80%*中证 800 作为统一的业绩基准。统计股票型基金的整体仓位分布,几乎所有基金的股票仓位介于 80%-95% 之间,并有大量基金的仓位是高于 90% 的。对于偏股混合型基金,股票仓位的分布结果与股票型基金相似,考虑到在投资者适当性认定上偏股混合型基金和普通股票型基金一般是相同的风险等级,从相似风险暴露的角度出发,我们认为两者的收益评估也类似,所以对于偏股混合型基金和股票型基金均采用 80%*中证 800 作为统一的业绩基准。

偏债混合基金定位为固收 + 基金,大量的基金长期股票仓位为 20%,对此我们采用 20%*中证 800 作为统一的业绩基准。灵活配置型基金比较特殊,这类产品的股票仓位较灵活,投资比例可以在 0-95% 区间内,从业绩基准中权益指数比例来看,以 50%-80% 为主,其中 50%*权益指数的最多,而部分产品以绝对收益基准,如一年期定存利率 +2%。对于灵活配置型基金,我们采用同类对标进行划分,对于业绩基准中股票比例为 0-30% 的基金和以绝对收益为目标的基金,对标固收 + 的评价方式,对于业绩基准中股票比例为 30%-60% 的,对标平衡混合型基金,采用 50%*中证 800 作为业绩基准,对于业绩基准中股票比例为 60%-100% 的,对标偏股混合型及普通股票型基金。下文中,我们将对标偏股基金、平衡型基金和固收 + 基金的产品分别统称为高风险、中风险和低风险基金。


2、大类资产:资产和仓位择时
在确定基金分类和业绩归因的参考基准后,将业绩基准记为,其中,表示区间内的指数收益,对于全市场选股的基金,该指数为中证 800;根据不同基金类型分别为 80%、50% 和 20%。将基金的历史平均仓位记为,仓位长期偏离收益为。可以依据基金季报披露的仓位来计算,也可以依据仓位测算模型计算基金区间仓位中枢。本文采用季报披露的仓位来计算,但对于基金还未披露仓位或者区间可能换手较高、仓位变动较大的基金,实际分析时可以采用模型进行测算。令第 t 期的实际仓位为,则第 t 期的仓位择时能力为,根据该公式我们可以计算基金仓位择时胜率和收益概况。
我们将多层归因模型应用于全市场基金分析:
(1)基金样本池:招证三级分类中的标准股票型、偏股混合型、平衡混合型、灵活配置型、偏债混合型基金;剔除计算区间内更换过基金经理的基金、最新规模低于 1 亿的基金、招证行业基金池中的基金。
(2)归因业绩基准:根据实际情况划定 20%、50% 和 80%*基准指数(中证 800)
(3)持仓数据区间:2019-06-30 至 2022-06-30 的中报和年报
(4)业绩计算区间:2019-07-01 至 2022-08-31
纳入统计的样本一共 513 只,其中高风险、中风险和低风险基金分别为 259 只、166 只和 88 只,分别有 88%、80% 和 64% 的基金获得了正向的资产配置收益。业绩统计区间内的中证 800 为正收益,也就是这些基金的仓位中枢高于基准仓位,即在权益市场长期上行的趋势下超配了权益资产。从事前判定和实际仓位来看,不少基金的长期仓位中枢与基金实际业绩基准有较大偏离。如高风险基金中有部分基金的仓位中枢在 20% 左右,接近为固收 + 产品,而低风险基金中也有十多只产品的仓位配置接近股票型基金。中风险基金的仓位中枢配置呈现出两级分化,分别近似高仓位权益基金和低仓位固收 + 基金,这或与基金客群定位和基金经理风格有关,而定位为高仓位权益基金的产品在这个市场区间内获得了正资产配置收益。
• 仓位择时对基金收益的贡献度大么?
从模型结果来看,较多基金获得了仓位择时正收益,但择时收益占基金总收益比例较低,即少数基金择时收益具有显著贡献。 从仓位择时角度来看,这些基金中约有 85% 获得了仓位择时正收益,有 55% 的基金同时在资产配置和仓位择时上表现较好,仓位择时的正收益最高为 20%,大部分基金的仓位择时收益低于 5%。而从不同产品类型来看,中风险基金的择时收益贡献为正的数量占比最高,其次为高风险基金。中风险基金一般以灵活配置型基金为主,仓位较灵活,调仓空间较大,有不少基金经理为规避风险或者追求绝对收益而进行仓位调整,高风险基金主要以相对收益为投资目标,长期保持高仓位,平均仓位水平明显高于仓位下限,在极端市场环境下仍有较大的减仓空间,进而获得择时收益。




**•** 案例分析:基金 A
我们以基金 A 为例研究基金资产配置和仓位择时收益来源。基金 A 为偏股混合型基金,在统计区间内基金收益为 124.49%,归因业绩基准收益为 8.5%,股票仓位中枢为 83%,其中资产配置和仓位择时收益分别为 0.05% 和 8.93%,是高仓位基金 中择时收益排名较靠前的基金。从单期表现来看,择时收益主要来源于 2021 年底的大幅减仓行为,股票仓位从 2021 年中报的 83% 降低到 2021 年年报的 50%,在 2022 年上半年市场大幅下行时基金获得了 3% 的正收益,同期中证偏股基金指数的收益为 -10%。

3、中观配置:行业配置和行业择时
行业景气度一直是基金经理投资框架中的重要关键词。 回顾过往的基金经理调研及投资框架材料,近几年的新锐基金经理对于中观选择的重视程度显著提升,对于行业配置和行业选择的研究投入也更大。随着基金经理覆盖度的提升,招商证券基金风格池中的中观配置型基金经理数量也快速增加。中观配置型基金经理主要是以自上而下和与自下而上相结合的方式进行组合管理,重视行业选择,投资中偏重先选赛道再选个股,从中观出发进行配置,或采用行业轮动方式进行投资。是否采用中观配置作为核心投资框架主要以基金经理定性调研作为判断依据,从数据层面判定基金经理的行业切换是出于行业选择还是个股选择具有一定的难度。但我们可以基于数据层面对全市场基金经理进行初步的判断和了解,便于后续调研进行定量定性验证。
本文我们在中观配置层面进行了能力进一步细分,分别为行业配置能力和行业择时能力,对应的分别为中长期行业偏好和短期行业切换。 大部分基金经理在做行业选择时重视的是该行业中长期的发展趋势,主要是从行业基本面、政策面、供需等角度考虑,而短期行业切换可能有情绪面、技术面和资金博弈层面的考虑。
首先衡量基金的行业配置能力。我们先计算基金的行业配置中枢,行业分类采用中信一级行业分类,为中信一级行业 j 的区间收益,基准指数的区间收益为,则基金对行业 j 长期偏离收益为,将各行业长期偏离收益加总作为中观配置能力。行业配置中枢体现了基金经理的行业长期选择,有的基金经理长期超配部分板块,如消费、医药或者科技等,一方面可能是出于自己对这个领域的长期看好,另一方面也可能因为这个领域是他的重点能力圈。我们在定量分析时不具体探究基金经理超配的出发点,采用标准模型来衡量基金经理的行业配置和行业择时能力,在定量层面对基金经理进行初步的了解,并在后续对于重点基金经理以定性的方式进行验证。
进一步,计算阶段性行业配置的调整所带来的行业择时收益。对于行业 j,假设基金长期配置比例为,基金在第 t 期对行业 j 的实际配置比例为,为中信一级行业指数 j 在 t 期的区间收益,为中证 800 在 t 期的区间 收益,则第 t 期对行业 j 的择时收益为,阶段性偏配各行业的超额收益率之和为行业择时收益。
****•** 行业配置和行业择时是否为基金重要收益来源?**
从基金收益来源构成来看,行业配置平均贡献了接近 1/3 的基金收益,而资产配置与配置和择时收益影响较小,行业择时收益甚至对基金收益具有负贡献。 从实际收益来看,统计区间内大部分基金的行业配置收益为介于 20% 至 50% 的区间内,配置收益排名靠前的基金经理有杨宗昌、孟棋、姜锋、周紫光、刘彬、姚晨曦、万建军、方建、牛勇等。仅 22% 的基金获得了行业择时正收益,平均正收益为 5.8%,仅 8 只基金的行业择时收益超过 20%,这些基金的基金经理分别为金梓才、丘栋荣、周海栋、杜洋、莫海波、刘自强、夏林锋。其中,金梓才在周期和消费上择时表现突出,丘栋荣在 TMT、中游制造、医药、周期板块都具有较均衡的择时收益,周海栋擅长周期板块的行业择时,杜洋在周期和金融地产板块表现突出。除了配置和择时收益之外,个股选择及交易能力对基金贡献突出,我们将在下一节展开具体讨论。


****•**** 案例分析:基金 B
我们以基金 B 为例,分析基金的行业配置和行业择时能力。基金 B 为偏股混合型基金,长期保持高仓位,仓位超过 80%,部分报告期仓位高达 91%。基金经理采用自上而下和自下而上相结合的方式构建组合,中观层面挑选未来周期向上的或未来景气向上的行业,更重视以两年为中枢的景气程度,进行左侧研究。基于资产类别计算收益风险比,自下而上挖掘个股,优选收益风险特征较佳的标的,同时尽可能分散组合风险。
基金 B 在区间内的收益时 209.8%,其中归因业绩基准收益、资产配置收益和仓位择时收益分别为 8.5%、0.7% 和 0.7%,大类资产层面的收益贡献较小,而中观行业层面的收益贡献合计为 82.4%,占基金实际收益的 39%,基金的个股选择和交易能力贡献也比较突出。行业层面可进一步划分为行业配置和行业择时收益,分别为 47.5% 和 34.8%,在高风险基金中的排名分别为 24/259 和 3/259,属于中观配置能力和行业择时能力均突出的基金经理。进一步,我们可以探究基金在每个行业上的收益情况,可以发现行业配置收益主要来源于周期和中游制造,择时收益主要来源于周期板块,一级行业层面主要体现为有色和煤炭。从单期结果来看,基金的行业择时胜率为 85%,在周期板块的择时胜率也为 85%,基金经理擅长行业择时,并且在周期板块上具有长期且持续的择时能力,尤其是周期板块中的有色和煤炭行业。


4、个股能力:选股能力和交易能力
个股选择能力也是基金收益重要来源之一。 基金经理在个股挖掘层面往往表现突出并且能力稳定性较强,大部分基金经理都曾担任过买方或者卖方研究员,接受过在不同行业精选个股的系统化训练,除了个人研究能力积累之外,上市公司调研、研究员推票等信息优势也更有利于基金经理在选股层面具有出色的表现。很多基金经理以自下而上的投资策略来进行组合管理,其核心就是个股选择。考虑到个股同时具备行业属性和个股 Alpha,我们侧重将这两个因素单独分析,即行业属性主要体现在行业配置和择时能力,而本章重点分析行业内选股的 Alpha,也就是基金经理是否能在不同行业中选中未来具有超额收益的个股。
令基金在时间 t 持有个股 i 的比例,该个股的区间收益为,我们将个股收益与直接持有相同比例行业指数的收益差值作为个股选择收益,为个股所属中信一级行业的区间收益率。个股 i 单期 t 的选择收益为,所有个股的选择在收益之和为基金的选股收益。
在对基金拆分为基准收益、资产配置收益、仓位择时收益、行业配置收益、行业择时收益、个股选择收益后,将基金实际收益与这些收益的差值判定为区间交易收益。 值得注意的是,我们在整个业绩归因模型中的分析都是基于基金的静态持仓,即认为中报和年报披露的持仓就是基金后半年的实际持仓,但该假设与实际情况有出入,尤其对于换手频繁的基金,中报和年报披露的持仓可能和基金实际操作具有较大的差异,该差异性均体现为“交易能力”,而实际上基金的调仓可能是个股持仓调整、个股波段操作,也可能存在前述的配置和择时操作。对比定性调研和模型结果,我们认为,对于大部分基金经理,区间交易收益中主要包含了个股调整收益和波段操作收益,而个股调整可以归为个股选择能力,即有部分选股能力被归纳到了区间交易能力。 对此,我们认为,对于大部分基金,可以一定程度忽略波段操作收益,将交易能力和选股能力合并视为个股能力。
个股能力对基金收益贡献占比最突出。 纳入统计的基金中,选股能力对基金总收益贡献超过 30% 的有 153 只,占总数的 30%。而从个股能力(选股能力及交易能力)来看,贡献度超过 50% 的有 395 只,占比 77%。选股能力最突出的有万家新兴蓝筹(莫海波)、泰信现代服务业(王博强,黄潜轶)、国联安优选行业(潘明)等,个股能力排名靠前的有大成新锐产业(韩创)、中信保诚创新成长(王睿)、华安动态灵活配置(蒋璆)等。而从交易及其他收益来看,中信保诚创新成长(王睿)、大成新锐产业(韩创)和广发多因子(唐晓斌,杨冬)表现较突出。
个股能力可作为选基的重要指标之一。 我们对纳入样本的标准股票型和偏股混合型产品进行分组回测,分别测试选股能力、交易能力及合并后的个股能力对选基的参考意义。在每个多层业绩归因所对应的报告日,根据基于基金上一个报告日所分解出来的基金各项投资收益来对基金进行按照从优到劣进行排序,分为 5 组基金,组合内按照等权或者基金上一报告日的规模加权进行持有。持有到下一个报告日换仓,基于同样的方式重新选择基金。换仓频率为半年度。从回测的结果来看,个股能力因子的高分组表现明显优于低分组,第 1 组在回测的区间内的年化收益率为 23.22%,相对第 5 组具有 6.6% 的年化超额收益。选股能力的高分组的表现也优于低分组,但 5 组之间的收益没有程序出单调性,第 1 组和第 2 组收益表现较好,高于第 3-5 组。交易能力因子对基金筛选也比较有效,第 1 组年化收益率为 24.28%,相对第 5 组具有 6.7% 的年化超额收益。可见个股能力可作为选基的重要指标之一,说明基金的个股能力的稳定性较强。



三
补充验证:基于净值的角度
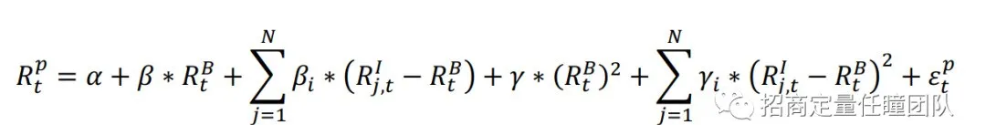
为了对照多层归因模型的拆分逻辑,在 TM 择时模型的基础上,增加行业层面的考虑,可以设定如下的择时回归模型:

其中 是基金 p 在 t 期的收益率,是 t 期指数收益率,是行业 j 在 t 期的收益率,是回归模型的随机 误差项。
该模型无法作为多层归因模型的验证模型。 理想情况下,模型中的各项参数可以匹配对应的配置和择时能力,常数项α对应着多层归因模型中的择股收益和交易能力。但实际上,该模型的实用性不强,并且由于数据频率的不同,实际上择时和交易等能力与多层归因模型中的并不完全匹配。由于需要对多个自变量进行回归,回归模型需要足够数量的样本,所以如果要与多层业绩归因做同等条件下的比较,那么结合我们前文所述的回归项与多层业绩归因之间的关系可知回归模型所采用的收益率的频率需为半年度,但是半年度的收益率必然会导致样本量的严重不足,从而导致回归模型的失真。而采用周频数据计算的仓位择时能力和行业择时能力本质上更接近多层归因中定义的短期交易能力。
基于净值的归因模型可以作为多层业绩归因的补充。 在前述章节中我们发现,多层业绩归因下基金的交易及其他收益占比非常高,这似乎也暗示着这里尚存研究价值。因为受限于基金全部持仓数据的公布频率,多层业绩归因的最小时间间隔也有半年之久,半年里基金仍有相当可观的操作空间。对于基于持仓的业绩归因无法触及的高频领域,基于净值的回归模型的价值便凸显了出来。于是我们首先 尝试利用高频的回归模型来对基金的交易及其他收益进行一定程度的解释。 模型如下:
该回归模型没有择时项。 在多层业绩归因的分解下,除交易及其他收益之外的分解所得的收益都是以“资产仓位*资产半年后的收益率”的形式计算的,因此在半年期内 能够近似地代替多层业绩归因在这个单期所涉及到的市场基准收益、市场和行业的所有配置收益以及择时收益之和(在多层业绩归因下,即使是择时收益也是半年跨度的,其资产在半年内是假设不调仓的),于是剩下的 便代表了基金 p 在该半年期内个股选择收益加上交易及其他收益的均值。
******•**** 采用 BootStrap 方法,基于 t 统计量判定模型结果。**
在择股、择时能力的显著性方面,一般当 t 统计量低于或者高于某一个值时我们认为其能力是显著为负或者为正的,在理论上 OLS 的 t 统计量服从 t 分布,因此如果计算出基金的 t 统计量位于 t 分布的低概率分布区域之内,那么我们可以认为基金的该能力是显著的。
在实操中,考虑到回归模型的不准确等等原因随机误差不一定独立同分布于正态分布,因此 t 分布的假设就不一定成立了。于是一般我们会使用 BootStrap 方法来构建模拟的 t 统计量分布,如果基金实际的 t 值位于这个分布的低频率分布区域之内,那么我们认为这个基金的该项能力就是显著的。
借鉴 Cao 等人(2013)所使用的 BootStrap 方法的思想,构造如下的 BootStrap 方法:
第一步,对基金 p 的收益率做回归,得到估计出的系数、t 统计量和误差序列;
第二步,对误差序列有放回地随机抽样得到新的误差序列,这里 b=1,2,…,B,表示误差序列由第 b 轮抽样所生成的 (我们取 B=10000)。接下来取出第一步估计出的系数集用于重新生成模拟的基金收益率序列(这里把 设置为 0,以代表模拟基金无 Alpha 能力):
第三步,根据得到的模拟收益率重新做回归,得到其择时系数 t 统计量;
第四步,对比基金实际的 t 统计量 在模拟 t 统计量分布中的位置,如果所在的分位数足够小或者足够大,那么我们就有把握认为该基金在该 系数上对应的择时能力是显著的。
半年度回归模型的 与多层业绩归因模型中的个股能力(含选股收益及交易收益)相关性高,可作为多层归因模型的补充验证。 为了量化此种方式给出的α_p 能在多大程度上近似代表多层业绩归因分解出的个股收益,我们求出每个报告日后的半年期回归α与多层业绩归因的个股收益的相关系数,如下图所示。可见无论是从 pearson 相关系数还是 spearman 相关系数的角度,两者都有非常强的相关性,相关系数基本都能达到 60% 以上。

四
基金筛选:全能选手和单项特长生
在前文的讨论中,我们确定了如何通过基于持仓和基于净值相结合的方法进行基金业绩归因,以多层业绩归因为主要分析依据,并采用改进后的 TM 模型作为补充验证,综合探究基金的资产配置、仓位择时、行业配置、行业择时及个股能力,其中个股能力又分为选股能力和交易能力。
进一步,我们可以基于归因结果展开基金优选。考虑到行业配置、择时及个股能力对基金收益贡献度较高,我们主要考察这 3 项能力,结合事前分类及事后股票仓位,从投资角度考量,筛选出偏股基金中表现较突出的产品,样本基金池为归因业绩基准为 50%*指数和 80%*指数,同时实际仓位高于 60% 的基金。
1、全能选手
筛选基金池中行业配置、择时及个股能力均排名前 20% 的基金,共计 14 只基金,分别有大成新锐产业(韩创)、易方达供给改革(杨宗昌)、华安动态灵活配置(蒋璆)、华商新趋势优选(周海栋)等。其中易方达供给改革在行业配置和个股能力上均排名前十,大成新锐产业在个股能力上排名第一,华商新趋势优选在行业择时上排名前三,华安动态灵活配置在个股能力上排名第五。从实际收益来看,资产配置和仓位择时的收益均较低,个股能力的收益贡献的主要来源,其次为行业配置和行业择时。


2、个股能力型
个股能力对基金的收益贡献度最大,并且稳定性最强,在基金筛选上是个较有效的指标。
********•****** 个股能力因子历史回测**
根据招证三级分类筛选近三年平均仓位大于 60% 的标准股票型、偏股混合型、灵活配置型和平衡混合型基金作为主动权益基金样本,进一步对基金的个股能力进行因子测试。回测区间为 2013/1/1 至 2022/11/15,进行半年度调仓,由于基金持仓计算的区间收益为报告期后推半年,故调仓日为每年 6 月 30 日和 12 月 31 日,最后根据个股能力大小对基金进行升序排列后等权划分为 5 组。回测时各期基金数量如下:

从回测结果来看,个股能力因子的 IC 均值为 10%,IC 胜率为 75%,ICIR 为 0.56,IC 的 T 检验结果显示 IC 显著不为 0,说明预测效果较强而且较稳定,个股能力 因子是一个有效的阿尔法因子。从组合的回测结果来看,所有主动权益基金组合均跑赢了中证偏股基金指数,第 5 组区间收益表现尤为突出。



******•******** 个股能力型基金筛选**
个股能力表现较突出的有大成新锐产业(韩创)、中信保诚创新成长(王睿)、汇丰晋信智造先锋(陆彬)、华安动态灵活配置 (蒋璆)、工银瑞信生态环境(何肖颉)等,下表中的基金的区间业绩收益也排名前 25,与个股能力排名的区间高度一致。其中不少基金也同时入选前一章节的全能型选手,分别为大成新锐产业(韩创)、易方达供给改革(杨宗昌)、华安动态灵活配置 (蒋璆)、华商新趋势优选(周海栋)、中融产业升级(甘传琦,杨鑫桐)、信澳先进智造(冯明远)。

3、行业配置型
行业配置收益对基金收益的贡献度仅次于个股能力。但行业配置能力的内在原因各有不同,有的是基金经理依据行业景气度进行投资的结果,有的是基金经理本身能力圈限制导致其长期配置某些行业,有的是基金合同本身有主题限制,也有的是基金经理自下而上进行的个股投资,但个股的行业部分被归类至行业配置收益。我们采用行业配置因子进行单因子回测,因子对基金的收益预测的稳定性较差。所以单从行业配置收益排名无法作为基金筛选的单一依据,需要综合分析。
从行业配置收益的排名结果来看,易方达供给改革(杨宗昌)、长盛创新驱动(孟棋)、新华行业周期轮换(刘彬)等基金的行业配置收益表现突出。得益于近几年的新能源板块的长期业绩突出,大部分基金的行业配置收益均来源于中游制造包括和周期板块。易方达供给改革的行业配置主要来源于周期,该基金长期配置化工板块。而新华行业周期轮换、华安研究精选、银华智荟内在价值、华泰柏瑞盛世中国等基金的行业配置来源收益较均衡,主要收益来源于制造、周期、消费等板块。


五
总结与展望
基金配置、择时和个股能力对基金业绩影响显著。基于我们过往进行的 700 多场调研结果来看,大部分公募基金经理重选股、轻择时,近几年的新锐基金经理更青睐景气度投资。业绩归因模型能从定量层面对基金能力进行拆解,可作为基金经理能力及投资框架的初步判定依据。业绩归因模型从数据层面可分为基于净值和基于持仓两类,基于净值的模型主要以 TM 和 HM 模型为主,通过分析基金收益与市场收益的关系的显著性情况,判定基金是否存在择时或者选股能力;基于持仓的常用模型为 Brinson 业绩归因模型,主要是将基金的实际收益拆解为择时和选股收益,主要回答的是收益来源占比的问题。
本报告在 Brinson 模型的基础上进行改进,构建多层归因模型,将基金收益分解为基准收益、资产配置收益、仓位择时收益、行业配置收益、行业择时收益、选股收益、交易能力,其中选股收益和交易能力合并称为个股能力。多层归因模型中采用的基金分类以事前分类为主,事后分类为辅,主要参考依据为招商证券基金评级分类。我们重点研究高仓位股票基金、均衡仓位偏股基金以及固收 + 基金,宽基类产品的业绩基准指数统一选择中证 800,对于被判定为行业主题基金的产品,我们将根据实际的分类情况选择对应的业绩基准。
从模型结果来看,个股能力、行业配置是基金收益的主要来源,其次为行业择时,资产配置和仓位择时的收益贡献度较小。个股能力对基金收益贡献占比最突出并且稳定性较强。纳入统计的基金中,选股能力对基金总收益贡献超过 30% 的有 153 只,占总数的 30%。而从个股能力(选股能力和交易能力)来看,贡献度超过 50% 的有 395 只,占比 77%。我们对个股能力因子进行回测,发现高分组表现明显优于低分组,第 1 组在回测的区间内的年化收益率为 23.22%,相对第 5 组具有 6.6% 的年化超额收益。可见个股能力可作为选基的重要指标之一,说明基金的个股能力的稳定性较强。另外,基于净值的归因模型可以作为多层业绩归因的补充。净值模型中的 Alpha 与多层业绩归因模型中的个股能力相关性高,两者的相关系数高达 60% 以上,可作为多层归因模型的补充验证,可进一步判定个股能力的显著性。
我们可以结合收益分解的结果进行基金优选。考虑到行业配置、择时及个股能力对基金收益贡献度较高,我们主要考察这 3 项能力,分别筛选全能型、行业配置型和个股能力型基金经理。3 项能力都排名靠前的绩优偏股基金共 14 只,分别为大成新锐产业(韩创)、易方达供给改革(杨宗昌)、华安动态灵活配置(蒋璆)、华商新趋势优选(周海栋)等。个股能力表现较突出的有大成新锐产业(韩创)、中信保诚创新成长(王睿)、汇丰晋信智造先锋(陆彬)、华安动态灵活配置 (蒋璆)、工银瑞信生态环境(何肖颉)等。从行业配置收益的排名结果来看,易方达供给改革(杨宗昌)、长盛创新驱动(孟棋)、新华行业周期轮换(刘彬)等基金的行业配置收益表现突出。
招商证券特征库目前具有多层业绩归因指标、基金及基金公司评级、基金风格标签、行业赛道特征、操作指标、基金经理个人特征、基金经理投资框架等各类数据,覆盖了基金持仓分析、业绩分析、基金经理定量及定性分析等多维度研究。我们将持续挖掘新的基金因子,扩充特征库的指标体系,并进一步研究如何采用特征库进行基金优选和组合构建。
“追寻优秀基因”系列
往期公众号文章
《追寻优秀基因 | 基金经理个人特征因子在基金优选中的应用》
重要申明
文章节选自《追寻优秀基因系列之七:基金的配置、择时及个股能力分析》(2022/11/30)。
风险提示
本报告仅作为投资参考,不构成投资收益的保证或投资建议;业绩归因模型的有效性取决于模型假设是否符合实际情况,不同基金的有效性具有一定差异;模型结果仅供参考,历史数据不代表未来。
分析师承诺
本研究报告的每一位证券分析师,在此申明,本报告清晰、准确地反映了分析师本人的研究观点。本人薪酬的任何部分过去不曾与、现在不与,未来也将不会与本报告中的具体推荐或观点直接或间接相关。
本报告分析师
姚紫薇 SAC 职业证书编号:S1090519080006
特别提示
本公众号不是招商证券股份有限公司(下称“招商证券”)研究报告的发布平台。本公众号只是转发招商证券已发布研究报告的部分观点,订阅者若使用本公众号所载资料,有可能会因缺乏对完整报告的了解或缺乏相关的解读而对资料中的关键假设、评级、目标价等内容产生理解上的歧义。
本公众号所载信息、意见不构成所述证券或金融工具买卖的出价或征价,评级、目标价、估值、盈利预测等分析判断亦不构成对具体证券或金融工具在具体价位、具体时点、具体市场表现的投资建议。该等信息、意见在任何时候均不构成对任何人的具有针对性、指导具体投资的操作意见,订阅者应当对本公众号中的信息和意见进行评估,根据自身情况自主做出投资决策并自行承担投资风险。
招商证券对本公众号所载资料的准确性、可靠性、时效性及完整性不作任何明示或暗示的保证。对依据或者使用本公众号所载资料所造成的任何后果,招商证券均不承担任何形式的责任。
本公众号所载内容仅供招商证券股份客户中的专业投资者参考,其他的任何读者在订阅本公众号前,请自行评估接收相关内容的适当性,招商证券不会因订阅本公众号的行为或者收到、阅读本公众号所载资料而视相关人员为专业投资者客户。
一般声明
本公众号仅是转发招商证券已发布报告的部分观点,所载盈利预测、目标价格、评级、估值等观点的给予是基于一系列的假设和前提条件,订阅者只有在了解相关报告中的全部信息基础上,才可能对相关观点形成比较全面的认识。如欲了解完整观点,应参见招商证券网站(http://www.cmschina.com/yf.html)所载完整报告。
本公众号所载资料较之招商证券正式发布的报告存在延时转发的情况,并有可能因报告发布日之后的情势或其他因素的变更而不再准确或失效。本资料所载意见、评估及预测仅为报告出具日的观点和判断。该等意见、评估及预测无需通知即可随时更改。
本公众号所载资料涉及的证券或金融工具的价格走势可能受各种因素影响,过往的表现不应作为日后表现的预示和担保。在不同时期,招商证券可能会发出与本资料所载意见、评估及预测不一致的研究报告。招商证券的销售人员、交易人员以及其他专业人士可能会依据不同的假设和标准,采用不同的分析方法而口头或书面发表与本资料意见不一致的市场评论或交易观点。
本公众号及其推送内容的版权归招商证券所有,招商证券对本公众号及其推送内容保留一切法律权利。未经招商证券事先书面许可,任何机构或个人不得以任何形式翻版、复制、刊登、转载和引用,否则由此造成的一切不良后果及法律责任由私自翻版、复制、刊登、转载和引用者承担。
招商定量任瞳团队